Never memorize something that you can look up.
— Albert Einstein
如今的大多数智能体,仍然活在一种「失忆式工作」模式中:每一次检索都是从零开始,每一条推理路径都无法沉淀,每一次失败也不会转化为经验。它们虽能多轮交互,但很难在深度研究中持续变强。
为了解决这个问题,已有工作尝试基于历史方案生成执行规划,但受限于预训练范式,许多智能体仍陷入新的困境:一个不擅长规划的「决策器」,从臃肿的记忆中检索出零散片段,再去驱动一个缺乏规划执行能力的「执行器」。结果是:记忆在增长,智能却没有。
于是,浮现出一个关键问题:是否存在将经验转化为能力的智能体记忆机制?
上海创智学院和华东师范大学联合团队最近提出的 Memory Intelligence Agent (MIA),一个面向深度研究场景的新一代记忆智能体框架,给这一问题带来了新的答案。

(高效版和可训练版即将发布)
为了解决这一问题,MIA 构建了一套基于「Planner–Executor–Manager」架构的记忆系统。其中,Planner 是战术大脑,不仅能够针对当前问题制定研究计划,还能通过测试时的持续学习实时调整其策略。Executor 是经过训练的执行专家,能够毫无阻碍地解读并遵循复杂的研究蓝图。Manager 是终极管理员,优化记忆存储以消除冗余。
与现有方法相比,MIA 的核心亮点在于:
在 X 平台上,该论文已被 DAIR.AI 的创始人,拥有 30 万粉丝的 AI 论文分享博主 Elvis Saravia 所转发,并收获了高度评价与大量关注。与此同时,该论文也入选了 Hugging Face Daily Papers 榜单。



作为一个持续运行的 Planning–Execution–Memory 闭环系统,MIA 在每一次研究任务中,都会经历:经验调用 → 协同推理 → 经验沉淀,并不断反哺后续决策。
在经验调用中,MIA 通过三维检索机制调用历史经验,分别是保证相关性的语义相似度,高质量经验偏好的价值奖励和激活长尾知识的频率奖励。
此外,作者还引入失败轨迹作为约束,使记忆既能提供参考,又能避免重复错误。在协同推理中,MIA 将推理解耦为两个智能体的协作过程,Planner 负责拆解任务、生成步骤,而 Executor 负责按照步骤执行。二者通过 Reflect–Replan 形成反馈闭环,当执行受阻时自动重规划,让智能体具备持续试错与调整能力。
在经验沉淀中,MIA 将对两种记忆同时更新。首先对轨迹进行压缩与提取,形成结构化非参数记忆。其次在线更新 Planner 参数,将经验转化为参数记忆。最后实现从经验存储到能力内化的跃迁。

在传统记忆系统中,Planner 和 Executor 往往只是拼在一起,并没有真正学会协作。为此,MIA 提出了一套两阶段交替强化学习和测试时持续学习的进化机制,让两个模块逐步对齐,并在真实任务中不断变强。首先在两阶段交替强化学习中,MIA 将训练过程拆分为:
这种「先对齐执行,再优化决策」的方式,解决了「规划很好,但执行跟不上」的问题。
其次不同于传统方法「训练完即冻结」,MIA 在推理阶段引入测试时学习,赋能智能体持续进化。其过程包括:执行推理任务同时生成多条候选路径。从成功与失败路径中提取非参数化记忆,基于成功路径在线更新参数化记忆。推理与训练几乎同步完成,形成真正的在线学习闭环。

为了将 MIA 能够真正用在开放环境的深度研究中,作者提出了一套无监督的自进化评估机制,让智能体在没有外部反馈的条件下,也能持续优化自身能力。
其核心思路是: 用「过程质量」替代「结果标签」,只要推理严谨、证据可靠、结论合理,即使没有标准答案,也可以作为有效学习信号。
因此,受学术评审的启发,作者将对结果的判断拆成多个「专家视角」,包括:
最终由一个「领域主席」进行综合决策并给出整体判断,为 MIA 提供稳定的优化信号,进而助力实时进化。
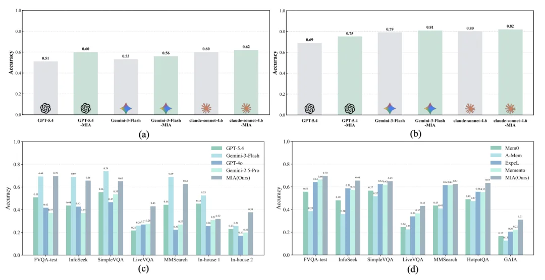
在多项文本与多模态深度研究任务中,MIA 显著提升了智能体的稳定性与效率:


智能体记忆不应该只是让智能体记住了「结果是什么」,而是应该让它学会「该怎么做」。MIA 的出现,传递了一个清晰的信号:决定一个智能体上限的,不再仅仅是它接入了多少外部工具,而是它能否在每一次与世界的交互中,将繁杂的「过程信息」压缩为精炼的「执行本能」。
文章来自于"机器之心",作者 "乔静阳、孟炜程"。
【开源免费】Browser-use 是一个用户AI代理直接可以控制浏览器的工具。它能够让AI 自动执行浏览器中的各种任务,如比较价格、添加购物车、回复各种社交媒体等。
项目地址:https://github.com/browser-use/browser-use
【开源免费】AutoGPT是一个允许用户创建和运行智能体的(AI Agents)项目。用户创建的智能体能够自动执行各种任务,从而让AI有步骤的去解决实际问题。
项目地址:https://github.com/Significant-Gravitas/AutoGPT
【开源免费】MetaGPT是一个“软件开发公司”的智能体项目,只需要输入一句话的老板需求,MetaGPT即可输出用户故事 / 竞品分析 / 需求 / 数据结构 / APIs / 文件等软件开发的相关内容。MetaGPT内置了各种AI角色,包括产品经理 / 架构师 / 项目经理 / 工程师,MetaGPT提供了一个精心调配的软件公司研发全过程的SOP。
项目地址:https://github.com/geekan/MetaGPT/blob/main/docs/README_CN.md
【免费】ffa.chat是一个完全免费的GPT-4o镜像站点,无需魔法付费,即可无限制使用GPT-4o等多个海外模型产品。
在线使用:https://ffa.chat/