在上一篇文章中,我们系统梳理了AI Agent 记忆机制的全景综述AI Agent最新「Memory」综述 |多所顶尖机构联合发布。今天我将带您了解一项最近很火的Agent记忆项目「HINDSIGHT」
参数量不再是长上下文任务的唯一真理。Vectorize.io与Virginia Tech最近发布的记忆架构HINDSIGHT证明了这一点:通过重构记忆的拓扑结构,一个仅有20B参数的开源模型在LongMemEval基准测试中达到了83.6%的准确率,而全上下文(Full-Context)的GPT-4o仅为60.2%。

传统的RAG正在撞上“认知模糊”的墙。简单的Vector Store无法区分观测事实(Facts)与推断信念(Beliefs)。HINDSIGHT放弃了扁平化的检索增强,转而构建了一个包含TEMPR(时序实体图谱检索)和CARA(自适应推理)的四网络记忆基质(Substrate)。本文将带您解构这套让Agent真正具备“后见之明”的工程架构,以及从部署到实践的具体细节。

现在的AI记忆系统(如MemGPT, Zep等)面临的三大核心痛点:
HINDSIGHT的出现,正是为了解决这些问题。它提出了一套完整的认识论(Epistemic)架构。
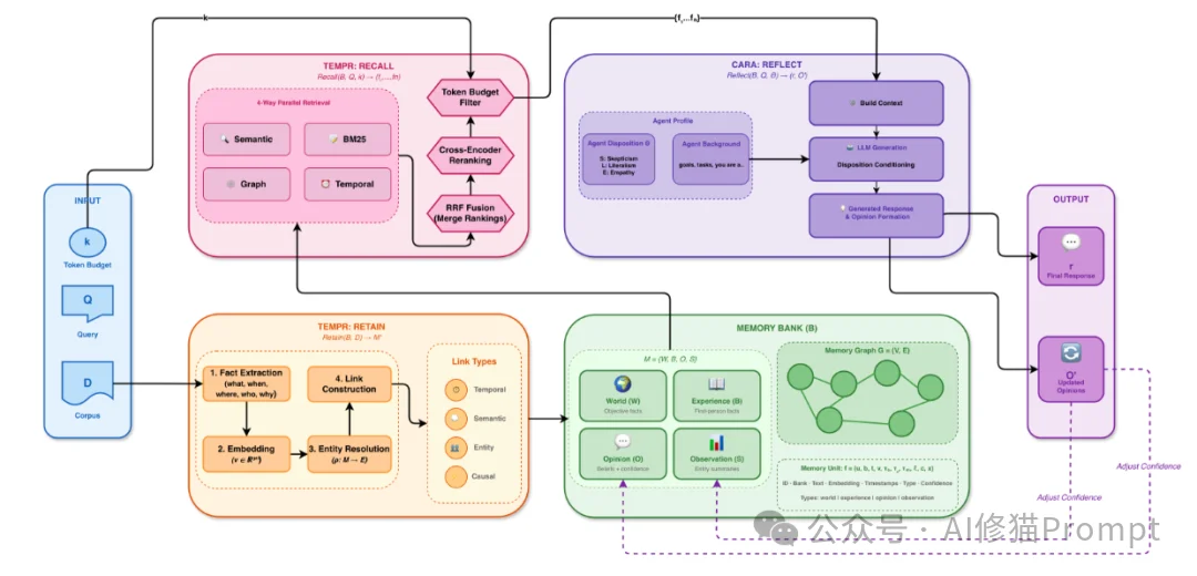
HINDSIGHT并没有把所有记忆一股脑丢进一个大桶里,而是模仿人类的认知结构,将记忆库划分为四个逻辑网络。这种分类非常关键,它决定了AI如何调用这些信息。

HINDSIGHT的架构图:完整工作流
这里存储的是客观事实。
这里存储的是AI的自传体记忆。
这是HINDSIGHT最独特的地方,它存储AI的主观判断。
这里存储的是合成后的实体摘要。
拥有了存储结构只是第一步,HINDSIGHT设计了三个核心操作来管理这些记忆的生命周期:Retain(留存)、Recall(召回) 和 Reflect(反思)。

当您与AI对话时,HINDSIGHT的TEMPR组件会接管数据流,执行一套复杂的“消化”过程。
大多数系统会把对话切成一个个碎片,但HINDSIGHT拒绝这么做。它使用LLM将几个回合的对话压缩成一个完整的叙事性事实。

这种方式保留了因果关系和语境,避免了断章取义。
系统会自动识别文本中的实体(人、地、物),并将它们链接起来,构建一个时间实体记忆图(Temporal Entity Memory Graph)。 这个图谱包含四种链接类型,权重各不相同:
这是 HINDSIGHT 区别于普通 RAG 的技术深水区。在检索阶段,它采用了一套四路并行检索(Four-way Parallel Retrieval) 策略,确保不错过任何线索。




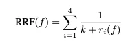
这四路检索的结果会被汇总,通过倒数排名融合(RRF)算法进行打分

再经过一个Cross-Encoder模型进行精细重排序,最终根据您设定的Token预算(Token Budget),贪婪地填充最相关的信息。
Reflect(反思)操作由CARA组件执行,负责利用召回的记忆进行推理,并生成新的意见。这里包含了两个极具工程价值的细节:行为参数的语言化和背景合并。


随着时间推移,用户可能会提供关于 Agent 的新设定,这往往会导致新旧信息的冲突(例如:Agent 之前说自己生于 1990 年,现在用户设定为 1995 年)。
为了避免“精神分裂”,CARA 引入了 Background Merging 机制。

在实际部署中,如果每次收到新信息都要实时更新所有相关的实体摘要(Observation),系统的写入延迟(Write Latency)将无法接受。这是所有记忆系统面临的性能瓶颈。
HINDSIGHT 采用了一种后台异步处理(Background Processing) 的架构模式来解决这一挑战:

这种架构决策体现了HINDSIGHT在实时交互性与长期记忆质量之间的平衡。
研究者们在LongMemEval和LoCoMo两个高难度的长程记忆基准上进行了测试。

LongMemEval表现
在包含大量干扰信息的长对话(Setting)中:
关键点:即使是参数量很小的20B模型,只要用了HINDSIGHT架构,在记忆准确性上也能完全碾压没有任何记忆架构的顶尖大模型。这证明了架构优于参数规模。
LoCoMo表现

这是一个更贴近真实人类对话的数据集,包含长达35个会话的跨度。
我根据论文的GitHub动手构建了一个基于Hindsight的长期个人助理 (Long-term Personal Assistant, LPA)。
Hindsight提供docker、pip、npm三种部署方式,我使用了docker完整部署。

后端LLM选择了Deepseek(通过OpenAI兼容协议连接),数据库采用PostgreSQL (pg0/pgvector)。

客户端方面,编写了一个轻量级的Python CLI程序。不像传统的Chatbot需要复杂的Prompt Engineering来维护上下文,这里的客户端代码极其简单,因为它把所有的“记忆压力”都甩给了Hindsight API。

最核心的测试点是时间感知。为了模拟真实的长期相处,我编写了一个脚本向系统植入了过去两周的模拟数据:

这里利用了Hindsight的 retain 接口,不仅传入文本,还精确指定了过去的 timestamp,让Agent误以为它真的陪伴了我们两周。
测试:当发送:“我上周做了什么?” Hindsight精准地输出了“本周生病”和“读沙丘”的近期记录。

这个项目非常丰富,您如果用docker部署还能看到一个前端的控制面板

由于时间原因包括文章之前提到的“参数配置Agent的性格”都没来得及仔细研究,感兴趣您可以亲自实践部署一下。欢迎加群一起讨论。
HINDSIGHT的核心启示在于:记忆不应该只是一个“查找表”,它必须参与到推理的过程中来。
通过将客观事实与主观信念分离,并引入时间图谱和性格参数,HINDSIGHT让AI第一次拥有了类似人类的认知清晰度。它知道什么是真的(World),知道自己做过什么(Experience),也知道自己相信什么(Opinion),并且这一切都是可以追溯、可以进化的。
正如论文标题所言:Hindsight is 20/20(事后诸葛亮,眼光独到)。回过头看,这或许就是AI记忆本该有的样子。
文章来自于“AI修猫Prompt”,作者 “AI修猫Prompt”。
【开源免费】字节工作流产品扣子两大核心业务:Coze Studio(扣子开发平台)和 Coze Loop(扣子罗盘)全面开源,而且采用的是 Apache 2.0 许可证,支持商用!
项目地址:https://github.com/coze-dev/coze-studio
【开源免费】n8n是一个可以自定义工作流的AI项目,它提供了200个工作节点来帮助用户实现工作流的编排。
项目地址:https://github.com/n8n-io/n8n
在线使用:https://n8n.io/(付费)
【开源免费】DB-GPT是一个AI原生数据应用开发框架,它提供开发多模型管理(SMMF)、Text2SQL效果优化、RAG框架以及优化、Multi-Agents框架协作、AWEL(智能体工作流编排)等多种技术能力,让围绕数据库构建大模型应用更简单、更方便。
项目地址:https://github.com/eosphoros-ai/DB-GPT?tab=readme-ov-file
【开源免费】VectorVein是一个不需要任何编程基础,任何人都能用的AI工作流编辑工具。你可以将复杂的工作分解成多个步骤,并通过VectorVein固定并让AI依次完成。VectorVein是字节coze的平替产品。
项目地址:https://github.com/AndersonBY/vector-vein?tab=readme-ov-file
在线使用:https://vectorvein.ai/(付费)
【开源免费】AutoGPT是一个允许用户创建和运行智能体的(AI Agents)项目。用户创建的智能体能够自动执行各种任务,从而让AI有步骤的去解决实际问题。
项目地址:https://github.com/Significant-Gravitas/AutoGPT
【开源免费】MetaGPT是一个“软件开发公司”的智能体项目,只需要输入一句话的老板需求,MetaGPT即可输出用户故事 / 竞品分析 / 需求 / 数据结构 / APIs / 文件等软件开发的相关内容。MetaGPT内置了各种AI角色,包括产品经理 / 架构师 / 项目经理 / 工程师,MetaGPT提供了一个精心调配的软件公司研发全过程的SOP。
项目地址:https://github.com/geekan/MetaGPT/blob/main/docs/README_CN.md
【开源免费】graphrag是微软推出的RAG项目,与传统的通过 RAG 方法使用向量相似性作为搜索技术不同,GraphRAG是使用知识图谱在推理复杂信息时大幅提高问答性能。
项目地址:https://github.com/microsoft/graphrag
【开源免费】Dify是最早一批实现RAG,Agent,模型管理等一站式AI开发的工具平台,并且项目方一直持续维护。其中在任务编排方面相对领先对手,可以帮助研发实现像字节扣子那样的功能。
项目地址:https://github.com/langgenius/dify
【开源免费】RAGFlow是和Dify类似的开源项目,该项目在大文件解析方面做的更出色,拓展编排方面相对弱一些。
项目地址:https://github.com/infiniflow/ragflow/tree/main
【开源免费】phidata是一个可以实现将数据转化成向量存储,并通过AI实现RAG功能的项目
项目地址:https://github.com/phidatahq/phidata
【开源免费】TaskingAI 是一个提供RAG,Agent,大模型管理等AI项目开发的工具平台,比LangChain更强大的中间件AI平台工具。
项目地址:https://github.com/TaskingAI/TaskingAI
【免费】ffa.chat是一个完全免费的GPT-4o镜像站点,无需魔法付费,即可无限制使用GPT-4o等多个海外模型产品。
在线使用:https://ffa.chat/
【开源免费】LangGPT 是一个通过结构化和模板化的方法,编写高质量的AI提示词的开源项目。它可以让任何非专业的用户轻松创建高水平的提示词,进而高质量的帮助用户通过AI解决问题。
项目地址:https://github.com/langgptai/LangGPT/blob/main/README_zh.md
在线使用:https://kimi.moonshot.cn/kimiplus/conpg00t7lagbbsfqkq0